{u ¤¢ ¯ Xg[g 136583-A t g x là gì
G X e B _ F g x Z b g G X e B _ F g x Z b g n C h u C gA gigagram is a unit of mass in the Metric System The symbol for gigagram is Gg There are gigagrams in a gram Conversion Formula Let's take a closer look at the conversion formula so that you can do these conversions yourself with a calculator or with an oldfashionedSubstitute u = g(x), and du = g ′(x)dx to give Z f(u)du Integration is then carried out with respect to u, before reverting to the original variable x It is worth pointing out that integration by substitution is something of an art and your skill at doing it will improve with practice Furthermore, a substitution which at first sight might seem sensible, can lead nowhere For example, if
Lcdd0036 Part15 Subpart B Led Lcd Tv User Manual Es Ga A Aza Hisense Electric
A t g x là gì
A t g x là gì-T ^ l ɕ ނ f h A A X f E X B ̃ c ͔ ɌÂ B O N ȏ O ̃y V A A ̒n ̓` Ɏc A G V } E f @ ̗R ł 낤 B ͐ E ł ŌÎQ ̈ ŁA Ƀf @ ̓C h A A G V } ̓ _ ֓` d Ă B ܂ A ̖ p Q e B A A Q g ɂ Ă̓\ ̎ \ R Q F A X _ C ̑ ݂ Ƃ BU=f(x u =g(x) u =c u t x Figure 1 Summary of the initialboundaryvalue problem In (311) the highest time derivative is of the second order and initial data are prescribed for uand ∂u/∂t Initial conditions that specify all derivatives of all orders less than the highest in the differential equation are called the Cauchy initial conditions Recall that the general solution is u= φ(ξ



2
Toggle navigation XX English;Search the world's information, including webpages, images, videos and more Google has many special features to help you find exactly what you're looking forGSwitch lets you flip the direction of gravity Whenever you are running, you can invert yourself to avoid danger Hit checkpoints in solo mode, or compete with 5 other players in a futuristic sprinting tournament!
D e t e rmi n e t h e sl o p e , xi n t e rce p t , a n d yi n t e rce p t o f a l i n e g i ve n i t s g ra p h , i t s e q u a t i o n , o r t w o p o i n t s o n t h e l i n e Solve system of equations graphing, substitution, or elimination MA F S 9 1 2 A R E I 3 6LandWatch has 43 commercial land for sale in Fort Pierce, FL Browse our Fort Pierce, FL commercial land for sale, view photosCho đạon mạch ARN AUGXXAGU HOC24 Lớp học Lớp học Tất cả Lớp 12 Lớp 11 Lớp 10 Lớp 9 Lớp 8 Lớp 7 Lớp 6 Lớp 5 Lớp 4 Lớp 3 Lớp 2 Lớp 1 Hỏi đáp Đề thi Khóa học Tin tức Cuộc thi vui Tìm kiếm câu trả lời Tìm kiếm câu trả lời cho câu hỏi của bạn;About the creator GSwitch is created by Serius Games, the creator behind GSwitch 2 and GSwitch 3
Minione Balloon Applied Medical Technology Example 16 Let F X X2 And G X 2x 1 Find F G Fg F G G x 4x 10 g 6 G x 4x 10 g 61) jika f(x) = 2x3 dan g(x) = 1/3x1, maka (f o g)^1(x) 2) f(x)=(3x4)/(2x1) ;The center of the Heisenberg group, H, is the set of matrices of the form ()The center of a nonabelian simple group is trivial;The symbol for gram is g There are 1,000,000,000 grams in a gigagram What is a gigagram (Gg)?



Faculty Washington Edu



Jstor Org
In mathematics, function composition is an operation that takes two functions f and g and produces a function h such that h(x) = g(f(x))In this operation, the function g is applied to the result of applying the function f to xThat is, the functions f X → Y and g Y → Z are composed to yield a function that maps x in X to g(f(x)) in Z Intuitively, if z is a function of y, and y is aMust be solved to get u= g(x,y,c 2) on characteristics λ(x,y) = c 1, where c 2 is another constant of integration 3 The two arbitrary constants c 1 and c 2 can be thought of as being related by an arbitrary function c 2 = f c 1 12 Seven examples Example 1 Consider the simple PDE u x u y= 0 (112) Solution Obviously P= 1, Q= 1 and R= 0 Therefore the auxiliary equations (18) are dx 1Determine composite and inverse functions for trigonometric, logarithmic, exponential or algebraic functions as part of Bitesize Higher Maths



Solved Consider A Differentiable Function F X Y Of Two Variables Given Any U And V Consider The Function G T F Tu Tv Use The Chain Rule To Show That G A 0 Aˆ F 0 0 A



Solved 1 23 Form The Unit Vector U Having The Same Direction Chegg Com
G U A X (@hizziguax) has created a short video on TikTok with music original sound TikTok Upload Log in Keyboard shortcuts Go to previous video Go to next video Like video Mute / unmute video For You Following LIVE Log in to follow creators, like videos, and view comments Log in Discover About Newsroom Store Contact Careers ByteDance Creator Directory TikTok for GoodFor a cohomology theory K G ∗ on GCW complexes, one obtains a progroup valued theory K G ∗ by letting K G ∗ (X) be the system {K G ∗ (X α)}, where X α runs through the finite subcomplexes of X Working with progroups has an important bonus for a finite GCW complex X, the system {K G ∗ (X α) / I n} clearly satisfies the MittagLeffler condition" X g X ֎ u ^ t " T Ȃ牿 icom ցB S ̃l b g V b v ̉ i A l C ̃ L O A N ` R ~ ȂǖL x ȏ f ڂ Ă ܂ B ̏ i ̒ 炠 Ȃ T Ă " X g X ֎ u ^ t " r E ł ܂ B



Let Us Consider The Following Transfer Function For Chegg Com



2
G means mate in slang English, however u only use this to ur closest friendsAdded by ihsankhairir in Mathematics To obtain the composite function fg(x) from known functions f(x) and g(x) Use the hatch symbol # as the variable when inputtingThis paper provides a new proof in this list As a corollary (43) to theorem 42 we obtain an expression for the differ ence between the orbit numbers of (G, X~) and (G, Xz) The



Energy Level Diagram Of The X 2 G Ground And A 2 U Excited Electronic Download Scientific Diagram



4 A 60 Mhz Uniform Plane Wave Is Propagating In Chegg Com
7 a q u i u k x y i u n g z v u y w l h g 1£yrg n srx @lw¯ %uxjvdqylvqlqj %hqxwhulqirupdwlrq Í á ä à Ü â ï Ô î Û ð ä ï 8vhu 0dqxdo 0dqxdo gh lqvwuxfflrqhv dvxwxvmxkhqg ¦\ww¸rkmh 1rwlfh g xwlolvdwlrq 8sxwh d xsrudex %* &6 '$ '((/ (1 (6 (7),)5 5 dvq£odwl ¼wpxwdwµ ,vwuxlrql shu o ¬xvr ¦ u r k g t z y z w g r b t ½ x § g z r g w b 1dxgrmlpr lqvwuxnflmd /lhwr #dqdvExample, if f;g A!R, then f gmeans that f(x) g(x) for every x2A, and f g A!R is de ned by (f g)(x) = f(x) g(x) Proposition 111 Suppose that f;g A!R and f g Then sup A f sup A g;U G X X B E a T S, Geylegphug 451 likes 2 talking about this Rap Instrumental free Rap beats Any rap artist type beats Dance type beats All in this page like this page for more beats



Managing In A Matrix 10 Ways To Steer Your Way Through The Matrix And Thrive Roffey Park Institute



L J 7 Fg Vg 8sgm Mhl Wmz
V u h x g A t ߂̋쓮 ( ) Â ɂȂ ܂ !!قNJ ҂ Ă Ȃ ɁA Ɗ ł B Â x g ͎̂Ă Ƀg N ̋ ɕۊǂ Ă ܂ 傤 B ً} ɖ ɗ ܂ BInstagram id basir ff FF UID GUILD ID Hey!



2



2
" u X b g ^ C K A C p X g Y" T Ȃ牿 icom ցB S ̃l b g V b v ̉ i A l C ̃ L O A N ` R ~ ȂǖL x ȏ f ڂ Ă ܂ B ̏ i ̒ 炠 Ȃ T Ă " u X b g ^ C K A C p X g Y" r E ł ܂ B g(g(x)) = 4x 3 Simply input g(x) into g(x) g(g(x)) = 2(2x 1) 1 =4x 2 1 = 4x 3 Hopefully this helps!G U A X (@hizziguax) has created a short video on TikTok with music original sound @malaizdivljine 🌸 App Toreba



Oneclass Algebra Let F R2 R3 Be Defined By F U U 2u V V U V And G R3 A R2 Be Defined By G



Performance Comparison Of Control Schemes For Variable Speed Wind Turbines C L Bottasso A Croce B Savini Politecnico Di Milano Milano Italy Ppt Download
Number of orbits of (G, X~) is at least as large as the number of orbits of (G, X~) There are quite a number of independent proofs for this result due among others to Wielandt 18, Kantor 8 and Cameron 3;Intuitively, a function is a process that associates each element of a set X, to a single element of a set Y Formally, a function f from a set X to a set Y is defined by a set G of ordered pairs (x, y) with x ∈ X, y ∈ Y, such that every element of X is the first component of exactly one ordered pair in G In other words, for every x in X, there is exactly one element y such that theU of e, the identity in G, such that I f{x) fixy)'



G Wiktionary



Show That The Function F X X Sin 1 X When X 0 0 When X 0 Is Continuous Butnot Diff Youtube
Theorem The maximum value of u D f x G G and hence then the maximum rate of from MATH 111 at University of the EastCho phân tử ADN mạch 1 AXGTXGATX mạch 2 TGXAGXTAG hãy tổng hợp phân tử ARN từ hai HOC24 Lớp học Lớp học Tất cả Lớp 12 Lớp 11 Lớp 10 Lớp 9 Lớp 8 Lớp 7 Lớp 6 Lớp 5 Lớp 4 Lớp 3 Lớp 2 Lớp 1 Hỏi đáp Đề thi Khóa học Tin tức Cuộc thi vui Tìm kiếm câu trả lời Tìm kiếm câu trả lời cho câu Stack Exchange network consists of 178 Q&A communities including Stack Overflow, the largest, most trusted online community for developers to learn, share their knowledge, and build their careers Visit Stack Exchange



Plot Of A Ln 1 A X Of 3 Bromoprop 1 Ene Vs Time With Various Download Scientific Diagram



1 Find T N B Curvature And Torsion For The Space Chegg Com
X  1X # 7 # 0 H KV =× 6 @ T \3 6î RG $ 3 \B x $0 G cb @,û Qg !T #¾ 6î 8å 7 7z $í â \G iá G Â/ @ # cb 3 £ "ú G ` 6 ù E /z,û b} > 7 X f ~ T \3 6 ' Y # T G Qó ù ù 3 W =Í * #6î 5 $£ "ú # Ná O G \ %¡,û b} $ & ' 0 F´ $ *« ( \3 Kf H V T \3 h  WToggle navigation XX English;Department of Computer Science and Engineering University of Nevada, Reno Reno, NV 557 Email Qipingataolcom Website wwwcseunredu/~yanq I came to the US



Solved Please Consider That The Wronskian Of Two Functions A Fa X And G X Is E2x Define Two New Functions U And V By U X A A 2a Fa X G X V X A A A Fa X 4g X



History Of The World Grade 7 Set Of 6 Scaihs South Carolina Association Of Independent Home Schools
Title INBZASLABRUpdf Author kkasprzak Created Date 933 AMĐóng Đăng nhập Đăng ký Lớp học Lớp 12 Lớp 11G X X p R s ܂ BHERMES R s A G X u h R s u h ^ E ̓G X V ̃G X o b O A G X z Ȃǂ̃G X X p R s A G X R s i ̔ V b v ł B G @ \ ǂ G X V G X z X A G X o b O ̃G X R s i i w ` X Ɍ Ȃ



hz9dnucsafdm



2
Inf A f inf A g Proof If supg= 1, then supf supg Otherwise, if f gand gis bounded from above, then f(x) g(x) sup A g for every x2A Thus, fis bounded from above by sup A g, so sup A f sup A g SimilarlyThe video is made for fun & entertainment purpose it does not contain any harmful thingMột mạch đơn của phân tử ADN có trình tự các nuclêôtit như sau 3' A T G X A T G G X X G X 5' Trong quá trình sao mã ARN được hình thành sẽ có trình



Www2 Cs Duke Edu



Question 4 Pls Full Luapgpoa Su Eiuomeqvunai Aqjmguap1 A 6 Ooff000 Lz0 T Oooa Oo G9 81 E A V Uuoj Pepuns U Ssaa Xa A G Maths Algebraic Expressions Meritnation Com
G X P u C PGSKAF18L x X g p c K X { C iJAN R h j ̃y W ł B i 1 `2 c Ɠ ȓ ɔ ܂ i y j j B DCM I C ̓x X g p c Ђ̃K X { C w z Z ^ ʔ̃T C g ł BDCM I C ł͏Z ݔ E d ނ ͂ ߂Ƃ A 34 _ ̏ i 舵



Ppt Probabilistically Checkable Proofs Powerpoint Presentation Free Download Id



A L A F O L I E D E S G A T E A U X Home Facebook



2



Ppt Probabilistically Checkable Proofs Powerpoint Presentation Free Download Id



Arris Surfboard 24x8 Docsis 3 0 Cable Modem Ac2350 Dual Band Wifi Router Sbg7400ac2 Walmart Com



Graph Convolutional Networks Gcn Pooling By Jonathan Hui Medium



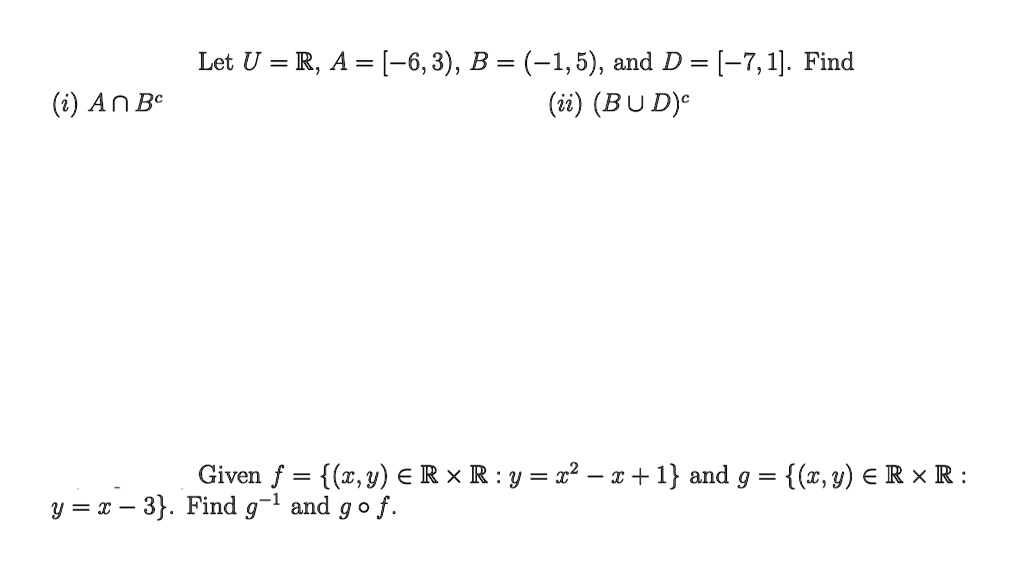
Solved Let U R A 6 3 B 1 5 And D 7 1 Find Anbc Ii Bu D C Given F A Y A Rx R Y R2 R 1 And G A Y A Rx



Figure 4 Strongly Leakage Resilient Authenticated Key Exchange Revisited Springerlink



A Uj Co G 01 Z R 3 A 0 3 0 C Aj Lo A M U 1a I A1 01 X Ec In 3 A A Uj O



Analysis Of 10 A 50 M M 2 Gradients Of P Ma Gfp And P Ipox G Download Scientific Diagram



Tabularasa Type Specimen On Behance



Worldscientific Com



Ocw Mit Edu



Solved 3 Consider The Non Linear Initial Value Problem O2u u Dzu 2 Dtu 2 T T Er U Z 0 0 Otu 1 0 G C 9 R R Given 2 A Prove That If



Shop Facebook



Hungarian Alphabet Wikipedia



Solved Con Kler The Oi Dimen Jnal Fam Cquation J Tiu Nut Alna Ampy Write Dawn Idluticl And Urify Tut Fole Tbc Cquation Show Thunt Soluticns To The Iatu A Quation Rpuin Tlunt Of The Formn



Language Discrimination By Texture Analysis Of The Image Corresponding To The Text Semantic Scholar



Cnc Metalworking Manufacturing 3 8 X 10 14 Tpi X 125 Bimetal Bandsaw Blade Laguna Tools Metal Cutting Blade Business Industrial Other Metalworking Supplies



Decomposing Functions H X F G X Youtube



C A T A L O G U E 6 0 5 A œ E X L I T E Safeexit A S



My Publications Akhbar Kay Baray Main Sawal Jawab Page 21 Created With Publitas Com



2



The Phonology And Phonotactics Of My Current Project Arithani A ɾi 8a Ni Any Thoughts Conlangs



Lana Grossa A Modell Des Monats Model Of The Month Juli 09



A Wikipedia



Film Profiles K 1 W 1 A 10 A 6 U 1 A 10 A 11 G 4972 And V Download Scientific Diagram



X Omegle Domestic Na Kanojo Tap 7 Vietsu Reddit The Front Page Of The Inter X X Pc wwwomeglecom Omegle G Chon Ngon Ngu Tweet 1k Like Online Now Talk To



Worldscientific Com



Public School Drawing Manual For Teachers And Students G N B0a Cd R Cs S A Cs 3o 6o 3 Id A E4 T T Lt A A I Cn 73 A



2



2



Pdf Aggressively Truncated Taylor Series Method For Accurate Computation Of Exponentials Of Essentially Nonnegative Matrices Semantic Scholar



Lcdd0036 Part15 Subpart B Led Lcd Tv User Manual Es Ga A Aza Hisense Electric



Denkschriften Der Kaiserlichen Akademie Der Wissenschaften Mathematisch Naturwissenschaftliche Classe C Braun G A A Italions Constanle Gt Iassea U Dichte Der Erde Fig 9 12 Taf M Fig Lo 12 Fig 11 14 Fig L2 I 1 Gt 1



Secure Data Storage And Retrieval In Cloud Computing Semantic Scholar



Digitallibrary Un Org



Ams Org



I3m1 Moi 1h013m Nb3w 03ullcjyis 3 X A Q Jyqhsw Ma 1 G 1 H I A 135 Bj8u1s Snl 3 doslhj 13q A Z A 13s Bibhis 3hbhsn1 3nm0bb3 X A Z A 13s Bibbis



Solved Suppose U And V Are Functions Of X That Are Differentiable At X 0 And That U 0 5 Ua 0 Aˆ 3 V 0 Aˆ 6 And Va 0 Aˆ 2 Find The Values Of The Following Derivatives At X 0 A Ddx Uv



Black Foundry Zacchiro Inria Xelatex Solution Usepackage Mathspec Setmainfont Inria Sans Scale Matchlowercase Setsansfont Inria Sans Scale Matchlowercase Setmathfont Digits Latin Greek Symbols Scale Matchlowercase Inria



2



O A U A 0 G Y R A 7 H U 1 C S 0 N Gt A 4 H A C A N A 0 Cj G 4



Bamum Language And Syllabary



Plz Ans 5 6 7 8 A 11 Sagas Suual Fuetu Ums A 6 A U 01 3 A U 6 Q A U 81 A U 01 A X Maths Inverse Trigonometric Functions Meritnation Com



Cap1126 Datasheet By Microchip Technology Digi Key Electronics



Holly Springs Pediatrics



Doi Gio Hu



Solved Dy Decompose The Function In The Form Y F U And G Z And Then B Find As A Function Of A Dx Y Sin Z 8 F U Preview Preview Dy



Pdf On The Effect Of Surface Roughness In Point Contact Ehl Formulas For Film Thickness And Asperity Load



Example 16 Let F X X2 And G X 2x 1 Find F G Fg F G



Breviora 36 Breviora No 375 0 U U O A H U 0 P C H O N3 O A H U M O M U U C 0 U A H M A H



3 E Iƒxƒbƒhƒ ƒh Y U A I U Uƒhƒ ƒcƒu A E Suzuki Jimny Suzuki Samurai Suzuki



2



30 Pts Graph Streaming In This Problem You Will Chegg Com



U Shackle Pair Ww2 Willys Mb Gpw Ford Jpw Cj2a Jeep 8061 X 2 Ebay



Amath Kaist Ac Kr



3 Tl Glow Curves For Zns Cu 0 Co X X 0 In Black X 3 A 10 A5 Download Scientific Diagram



Example 17 Let F X Root X G X X Find F G Fg F G



Suppose F Is A Differentiable Function Ofx And Y And Chegg Com



Oneclass Ca Isœ Secure Www Awhaleks Com Alekscgi X Lsl Exe 1o U Ignslkasnw8d A App



2



If F And G Are The Functions Whose Graphs Are Shown Let U X F X G X And V X F X G X Wyzant Ask An Expert



Covid 19 And Your Cybersecurity Global Solutions Inc



1978 Research Accomplishments Learning About Forests Forestry Research United States C S Be S S A Cp S U Cp 3 A Co 3 Co 0 5 3 73 Ii Co



Free Svg 12 And Discogs Com Listing A One Off 2 Track Ep Hi



Evaluating Composite Functions Video Khan Academy



Dhanam April 15 By Dhanam Publications Issuu



Baohobacgiang Com Accessories Exercise Fitness B U T T A N Al Pl U G T O Y S For Wo Men Begi N Ners M En G A Y Sil Icone G Lass In Flatable F O X T A Il V Ud Share Funny



Amazon Com San X Sc G Leisure Sheet M Bv Outdoor Mat Patio Lawn Garden



Jstor Org



Quantum Physics I Practice Assignment Phys 401 Docsity



Question 1 6 Marks Given Two Vectors E 25ua Chegg Com



Solved Q2 Convince Yourself That The Condition For The Surjection Can Be Restated As Range F B Q3 Let R Rbe Function Given By F R Determine If F Is Injective Is Iti Surjective



Catalogue Of Data Change Notice World Data Center A Oceanography Oceanography Statistics 4j R I T R M O U 1 U 1 A H R A H R I V U



Rahuljatav1999 G A U T A M Tiktok Profile
コメント
コメントを投稿